提效专区
第一期 📖 阅读总结文件
没时间逐字逐句阅读冗长的报告?想快速从文献中提取与课题相关的内容?文件阅读神器来啦!只需输入URL或者上传文件,简单描述你的需求,豆包就能帮你阅读内容并提炼关键信息,还有超酷的AI伴读模式,快来试试吧!
- 功能入口:具体步骤详见截图,目前豆包的长文阅读功能支持上传 pdf、docx、 xlsx、txt、pptx、 csv等格式的文件,整体文件大小可达 100MB ,并支持同时上传多个文件进行解读哦。
电脑端


APP

- 如何使用:长文阅读功能旨在帮助用户更高效、更快速地阅读、理解及总结文档内容。你可以直接上传文件并发送,让豆包为你总结,也可以使用以下常见 Prompt 来帮助你快速获取信息:
Prompt 示范:
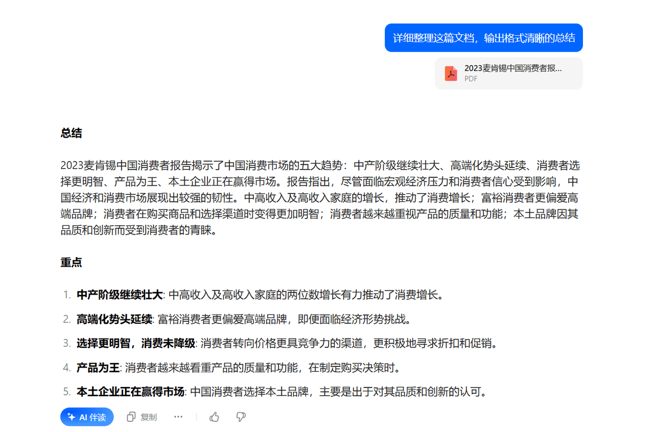
帮我总结核心内容
帮我查找文档中提到“XXX”的内容
请基于文档分析“XXX”的观点
WEB端

APP端

- AI伴读:除总结和基于文档问答以外,Web端豆包还支持AI伴读功能。点击位于回复下方的「AI伴读」,即可进入伴读模式。**左侧原文档,右侧豆包对话框,哪里不懂划哪里!**划词后可使用「搜索」、「解释」、「翻译」等快捷技能,帮助你理解名词、搜索信息、拓展知识点,更好、更快地理解内容,简直是论文阅读神器!
进入AI伴读模式

划词解释,快速理解

划词搜索,拓展阅读

翻译全文,双对照阅读

第二期 ✍️ 多场景写作
苦于构建复杂的论文结构?不想一字一句码邮件回复?你的得力写作助手出现啦!仅需给出主题或若干关键元素,简要说明你的创作要求,豆包就能为你进行写作啦!
- 多元创作体裁和模版:豆包提供了6种写作场景,包含**30+**种写作模版,包括但不限于文章、作文、话术、论文、小红书、短视频脚本、头脑风暴等,满足你在写作上的多元需求。标准的 Prompt 模版让你能更轻松地描述和拆解写作需求,从而更高效、高质量地完成写作。
工作场景

学习场景

日常生活场景

商业营销场景

- 分步骤写作:部分体裁已支支持分步骤写作功能,先大纲、后写作的方式,能进一步提高写作效率,避免生成后的频繁修改,帮助大家轻松应对各种写作挑战。
💡 写作三步走
选择模版,并根据模版输入写作要求,包括要点和字数等
豆包先撰写大纲,梳理文章的结构和核心要点。你可以按需对大纲进行细致修改,确保逻辑严谨、层次分明
豆包会基于完善后的大纲进行写作
** 1. 选择有「分步骤」标识的模版**


2. 修改大纲



** 3. 基于大纲生成文档**

4. **完成撒花 **

第三期 🔍 搜索最新资讯
还在用传统的搜索引擎?面对海量且繁杂的搜索结果,不知如何精确获取想要的信息?豆包 AI 搜索来啦!输入关键词,让豆包帮你全网搜索,并基于搜索结果做总结!我们还推出了深入搜索功能,让结果更全面更细致!
- AI搜索:豆包大模型叠加联网Buff,可以精确地搜索到时效性较强的信息,助你轻松了解最新资讯,让信息搜集效率翻倍!
什么样的信息适合使用“AI搜索”?
热点事件和最新资讯,例如体育赛事、电影资讯、新闻时事、网络热梗
无论是生活百科还是专业知识,各种内容都可以问豆包
AI搜索入口

搜索最新资讯

生活百科搜索

专业知识搜索

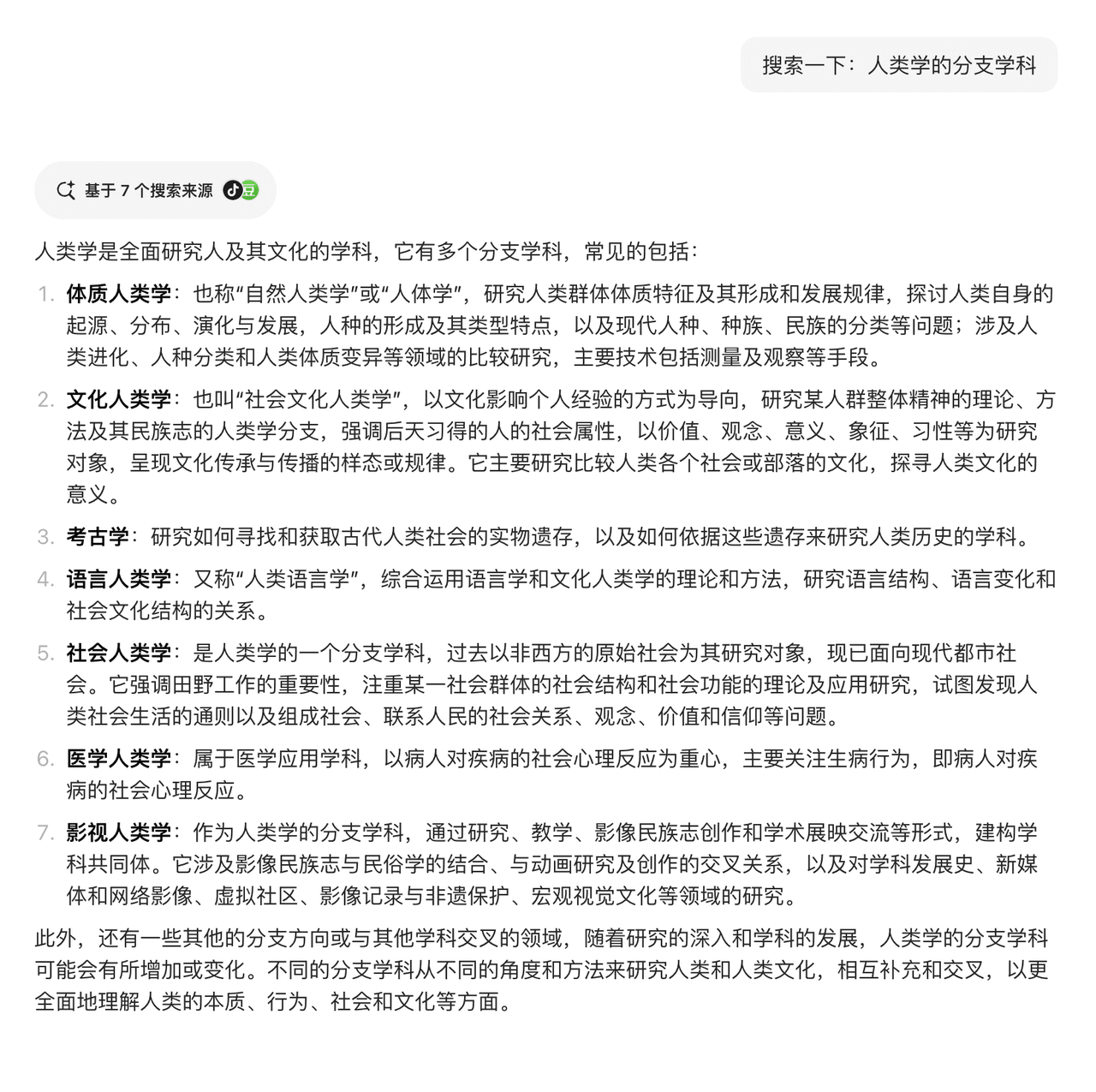
- 深入搜索:想要更具体、更全面地了解一个话题?点击回复下方的深入搜索,豆包帮您更深层次地搜索整理信息!更多信息来源、更全面的分析、更丰富的总结。
深入搜索入口

普通搜索

深入搜索

第四期 🎞️ 看视频搭子
看长视频前想快速get重点内容?看学习视频想边看边记录?豆包插件申请出战!助你高效看视频!
- 总结视频:点击视频右侧的「总结视频」按钮,让豆包帮你快速提炼视频内容,并按时间轴梳理和罗列要点。看到感兴趣的要点,点击时间轴即可跳到具体的视频位置,再也不用拖着进度条找想要看的内容了!
🌟 豆包还支持沉浸模式,全屏后会在右侧展开时间轴要点。
总结视频


沉浸模式


- 思维导图:除了文字总结,豆包还能生成脑图,更清晰有条理地展示内容要点,非常适合知识区、科技区和公开课的视频品类,学习搭子有了!
知识类视频

评测类视频

- 边看边记:学习的时候喜欢记笔记的朋友们,再也不用同时打开两个软件分屏了!豆包直接将“看”和“记”二合一,实现边看边记,视频笔记还会整合在网页端的收藏夹内,方便回看,留下学习的痕迹真的很有成就感!
记笔记

收藏夹内翻阅笔记

点击笔记定位具体时间轴

收藏视频总结

- 边看边问:在插件的聊天中继续追问,进一步拓展知识、发散思维!
在聊天中继续提问

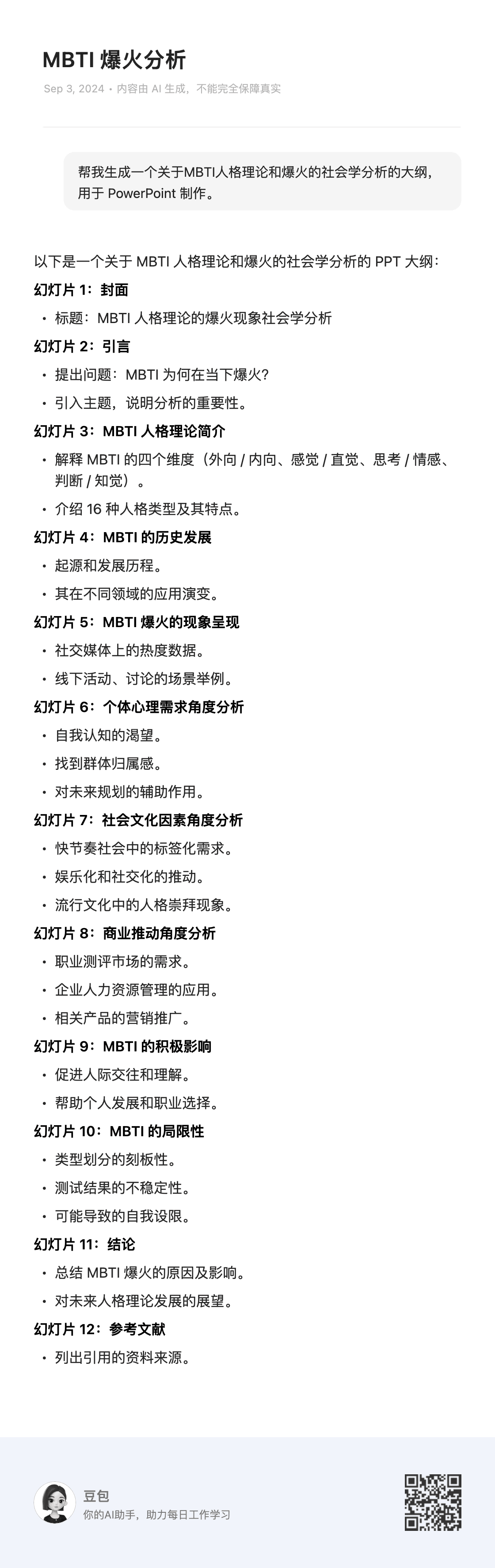
第五期 🔖 生成PPT大纲
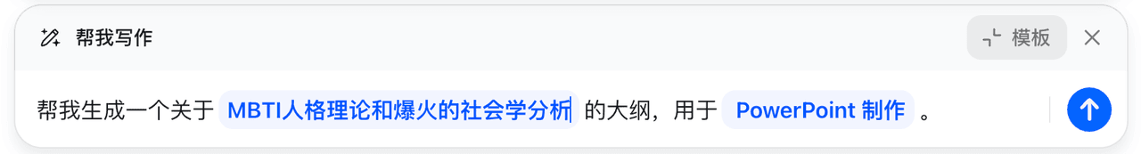
命题演讲,空有主题不知如何拆解内容框架?面对万字工作汇报,不知如何提炼重点内容做 PPT?别担心,快让豆包来帮你。给豆包一个主题,或上传一个文档,就能为你生成整体大纲,不仅具有清晰的逻辑结构,还能突出主题,让 PPT 的重点一目了然!
场景一:主题演讲,让豆包提供思路
- 使用帮我写作技能中的「大纲」模版
无需从零开始构思,只需要输入你想要的主题,即可获得一个具有清晰逻辑和结构的基础框架。你也可以在主题外,增加一些限制条件,例如“从XX、XX、XX 几个角度展开”、“包含XX、XX、XX几个方面”。

- 简要描述主题,一键生成大纲

场景二:基于文档汇报,让豆包帮你提炼
- 上传文件
适用于毕业论文答辩、转正答辩、工作汇报、小组作业展示等场景。当你需要基于文档进行presentation,可以先上传文件给豆包进行分析,再输出 PPT 大纲,高效梳理思路。

- 输入指令,让豆包梳理 PPT大纲
🌟 你可以使用以下 Prompt:
基于文档,整理出一份结构清晰的PPT大纲,不超过20页。
你也可以按照需求增加条件限制,例如“请用Markdown格式输出”、“每页不超过5个信息点”等。

豆包生成 PPT 大纲示例展示


.png)
第六期 📝 文档编辑器
想要更沉浸式地体验 AI 辅助写作?豆包文档编辑器已上线!开启后即可在编辑器内进行「自由编辑」和「 AI 改写」,无需跳转word修改和润色,在豆包内就能精彩成篇,让文档写作更加顺畅和高效!
- 开启文档编辑器
在「帮我写作」中开启编辑器

输入长文本创作指令

- 自由编辑
开启文档编辑器后,你可以在右侧的编辑器内自由编辑文本,增删、调整段落内容、随心编辑格式、字号和段落样式。同时还支持插入图片、表格和代码块,让文档内容呈现形式更加丰富和直观。
编辑格式
编辑器具备完善的格式编辑功能,在豆包内就能搞定所有格式修改,文档形式更清晰、更有结构。
编辑文本格式

插入标题和列表

丰富文档内容
编辑器还支持插入多种形式的内容,让文档图文并茂,更可视化!你可以使用搜图、生图功能插入契合主题的图片,还可以灵活插入表格和代码块,辅助说明文字内容。
插入更多形式的内容

全网搜图

本地上传

AI 生图

插入表格

插入代码块

- AI 改写
全文润色、划词改写、自由对话改写,多形式的 AI 改写全方位辅助你修改文档,效率与质量双双 “起飞”。
全文润色
你可以直接点击右下角的按钮,针对全文进行润色和长度调整;也可以在左侧的对话栏中通过自由对话,输入修改的指令,进行多轮调整。
一键全篇润色

调整文章长度

自由对话修改

参考建议修改方向

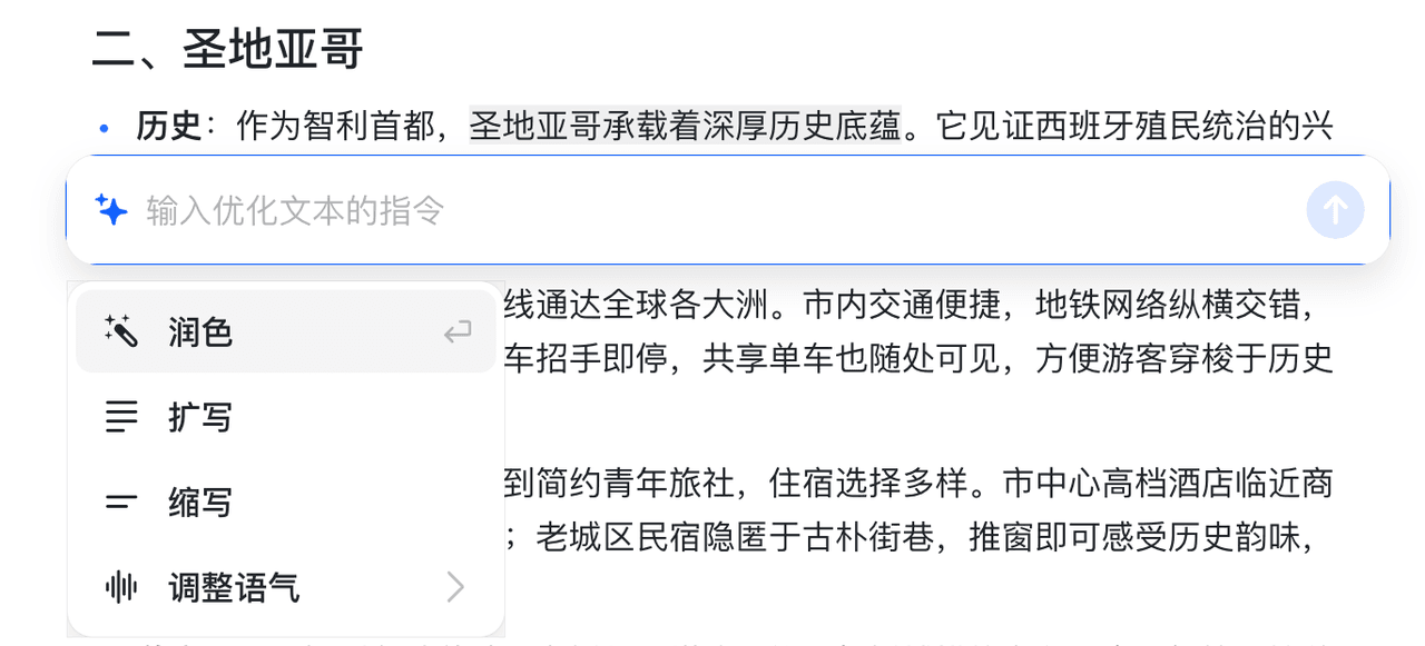
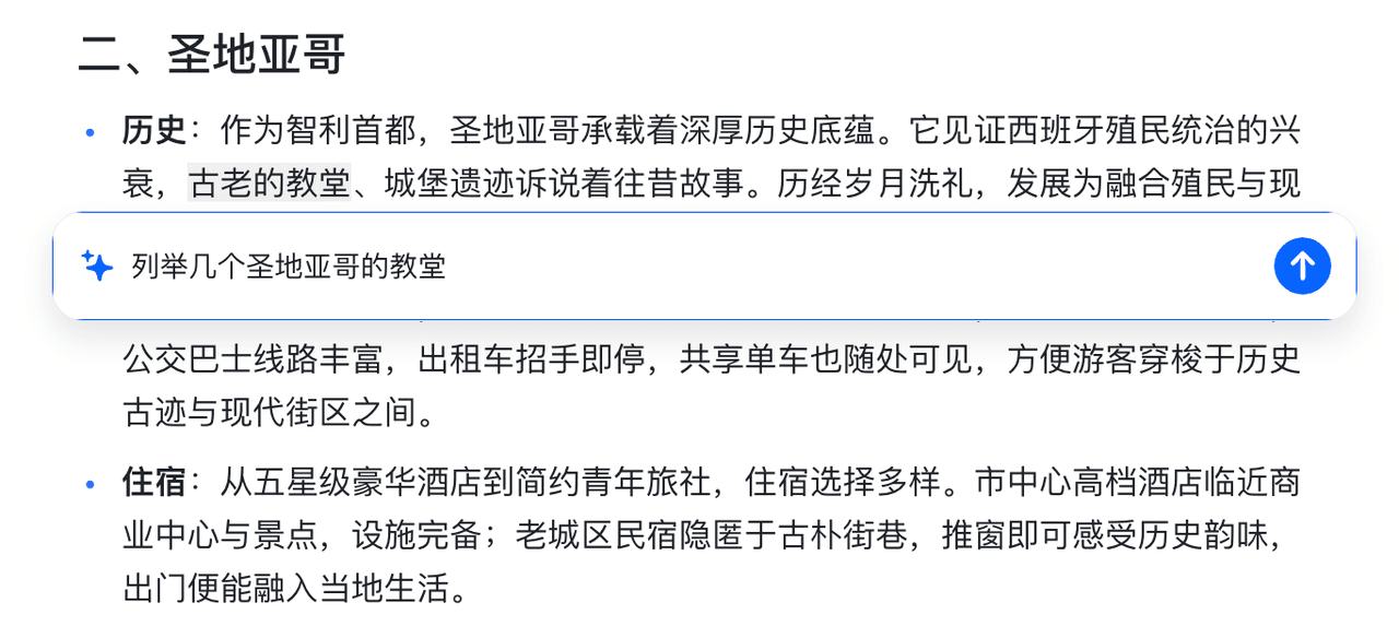
划词润色
哪些需要调整就划哪里!选中需要修改的文案,让豆包帮你 AI 改写。编辑器预设了扩写、缩写、调整语气等常见的润色指令,一键即可完成改写。当然,你也可以自由输入指令,实现更个性化的改写。
扩写/缩写/调整语气

自由指令改写

AI 改写案例和指令推荐
💡 你可以尝试以下指令来进行改写:
增加案例:增加几个具体的案例分析 / 增加对 XXX 方面的论述
逻辑重构:请重新组织逻辑结构,使得条理更清晰,可以分点论述
标题改写:请重新设计文章标题,简洁明了且具有吸引力,能迅速激发读者阅读兴趣
精炼内容:精简冗余内容,删除不必要的信息
扩写小说情节
调整为幽默语气


增加更多示例
改写小红书文风


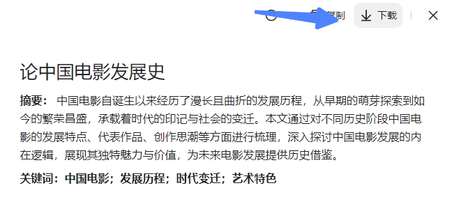
- 回退历史版本并下载
点击右上角的小时钟图标,即可查看并还原历史版本。目前只有在使用全文润色 / 自由对话指令改写时,才会保存历史版本哦~
回退历史版本

下载为word/pdf

第七期 👾 轻松写代码
理不清代码框架?找不到报错原因?不想逐字敲代码?有个小创意但不知道如何实现?你的编程小助手来啦!
除了代码生成、代码修复、代码解释等基础问答,豆包还内嵌了沙箱环境和代码编辑器,支持实时验证生成的代码结果、支持上传本地项目或开源仓库进行圈选提问。
快来「豆包AI编程」发送你的需求、“指挥”它帮你完成编码工作吧!
- 编程功能入口
目前可以从豆包网页版/电脑端的侧边栏与首页对话框下的入口进入「AI编程」,你也可以直接在首页对话框提问编程相关问题或上传代码来开启智能编程之旅哦!
网页版/电脑端「AI编程」入口

AI编程页面

- 如何使用
💡问答小妙招:各类编程问题,让豆包帮你解决
适用场景
Prompt 示范 - 代码修复场景
修复【此处粘贴你的代码】,要求:
对代码进行错误分析,指出错误点、错误原因以及修复思路
给出修复后的代码,并用注释标出主要的改动处,方便我理解改动逻辑

💡 功能使用小妙招:这几个好用功能,速来体验!
HTML 代码预览
如果你想要做一个前端网站/小游戏/应用等,直接把你的需求告诉豆包,代码生成后可直接预览效果;
当调试出满意的前端产物后,可一键「分享」给你的朋友哦!


做出应用做出应用之后,还可以继续使用**「可视化编辑」**功能能对产物进行优化;
文字编辑:直接修改或通过对话修改;
图片替换:通过智能生图、一键搜图或本地上传完成图片替换;
组件调整:通过对话对页面组件、交互逻辑进行增删改操作。
编辑入口

文字编辑

组件调整

图片替换 - 智能生图

图片替换 - 一键搜图

图片替换 - 本地上传

上传本地项目或导入开源仓库,精准问答
在豆包首页或进入「AI编程」首页,均可上传本地代码文件或文件夹,也可导入gtihub开源仓库;
向豆包轻松传达你完整的项目上下文、让它的回答更符合诉求。


打开代码编辑器,圈选提问
点击代码框右上角“放大查看”按钮即可进入代码编辑器;
多文件项目还可以便利地切换目录查看代码;
支持圈选代码片段,更精准地进行解释、修复或提问。



Python 代码运行
豆包内置沙箱环境,生成python代码产物后可直接运行、实时验证代码可用性;
如有代码报错,还可以一键「AI修复」。


- 场景实践
为朋友做一个生日贺卡
生成送给「王小明」的生日贺卡。贺卡使用搞怪配色和风格,点击查看祝福,贺卡翻转,页面飘过满屏的生日快乐彩色弹幕。
教学演示工具
用 HTML 模拟激光射入水中的效果,支持调节入射角滑块(0°-90°),实时显示折射光线角度,当入射角>48.6°时折射光消失并提示"全反射"
做一张极具个性的名片
创建一个极客风格的 IT 名片,采用代码编辑器界面的设计理念,把个人信息以代码形式展示,同时融入现代 UI 设计元素和动态效果。
和豆包一起做一个小游戏吧!
Prompt 示范:
用HTML给我做一个消消乐游戏,消除元素是食物的emoji,我想要一个8*8的消除行列,游戏限制时间30秒,再添加一个过关分数要求

为你的朋友生成一个爱心代码
Prompt 示范:
使用seaborn和matplotlib库,用python代码写一个淡蓝色爱心方程,爱心中间填充淡粉色,可显示坐标轴

用豆包帮你生成一个完整项目
Prompt 示范:
生成一个包含完整前后端代码的信息管理系统

第八期 🎧 万物皆可播客
AI 时代也该更新阅读方式了!干货知识、深度报告、学习资料、新闻时事,万物皆可播客!上传文件或网页链接给豆包,即可生成生动的双人 AI 播客,随时随地收听。目前仅支持上传 PDF文件,自然语言生成播客在规划中,敬请期待。
🎧「豆包随身听」- 随时畅听各类内容
通勤路上、跑步时、做家务时想听点什么?用豆包 APP 生成播客,利用碎片时间给自己充电!
- 轻松生成播客
点击AI播客

上传文档 / 粘贴链接

生成播客

- 万物皆可播客
公众号文章、知乎文章、新闻报道、本地的学习资料,各种类型的内容都可以一键转成播客,改变传统的阅读方式,轻松“听”文章。
新闻解读

**公众号文章 **

小说 / 电子书

🖥「豆包办公听」- 换种方式读报告
学习办公场景也可以选择在豆包电脑端生成播客。学习资料、学术论文、冗长的PPT、复杂的市场报告、会议纪要等,都可以上传给豆包,生成轻松易理解的播客内容,告别逐字阅读。
- 功能入口
豆包主页选择功能入口

生成播客

- 工作学习双提速
战略用研报告、周会记录、学术论文,各种高强度阅读的内容都可以尝试用豆包播客来“听一听”。
研究报告

学术论文

会议纪要

学习资料

- 丰富创作内容呈现形式
对于内容创作者来说,AI 播客丰富了内容呈现形式。你可以下载豆包播客音频,并添加在微信公众号 / 飞书云文档中作为「文章导读」,为读者提供新的内容消费形式。
支持下载音频

公众号文章导读

飞书文档内容导读

学习专区
第一期 🗣️ 免费口语陪练
想要提升口语水平但不知如何开始?想要流利表达却总是磕磕绊绊?无论是发音不准、语法错误,还是缺乏表达思路,豆包作为你的绝佳伙伴,都能为你提供针对性的帮助,让你的口语能力逐步提升!
✨ AI陪练,毫无压力,不怕尴尬
💬 尽情畅聊,任何话题都能接招
❤️ 挑选你喜欢的音色,让口语练习更加有趣
- 口语陪练智能体推荐:豆包有很多优质的「英语学习」和「口语陪练」的智能体,有各自的长处和特点,你可以按需选择。进入智能体后,你可以选择「普通语音输入模式」或「语音通话模式」和智能体进行口语练习!
英语学习助手

Alice(英语口语陪练)

英语口语聊天搭子

英语外教Owen

- 英语学习助手:纯英文自由练习
🌟 推荐 Prompt:
纠正语法:Please correct me if my grammar is wrong.
润色表达:Please provide an improved version of my expression./ Please refine my expression to make it more natural.
纠正语法

润色表达

语音通话模式下自由练习

- Alice(英语口语陪练):丰富的情景口语练习
🌟 Alice 智能体可以基于不同的「英语水平」提供不同的情景练习素材,以其独特的交互方式和丰富的知识储备,满足你多样化的学习需求。
选择英语水平

选择对话场景

选择对话角色

- 英语口语聊天搭子:中英文建议问题
🌟 智能体的建议问题为中英文双语,更适合中国宝宝的体质,再也不怕口语对答的时候脑袋空空了!无论是谈论天气的阴晴变化,还是分享一日三餐的美味,亦或是交流日常的所见所闻,聊天搭子都能与你畅所欲言~
日常对话

自我介绍

模拟口语测试

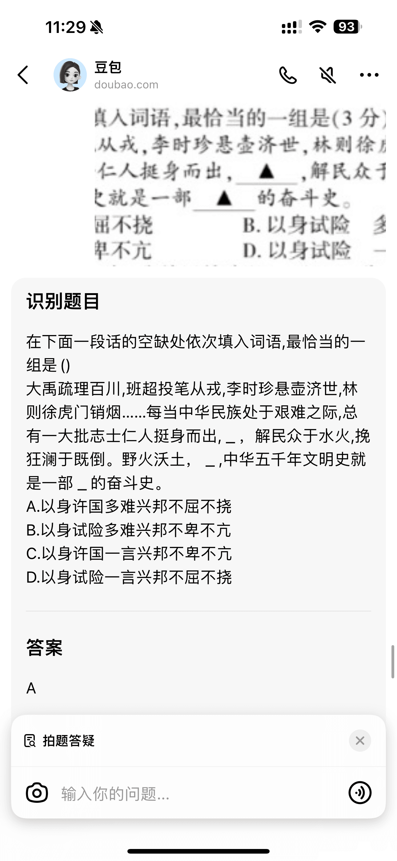
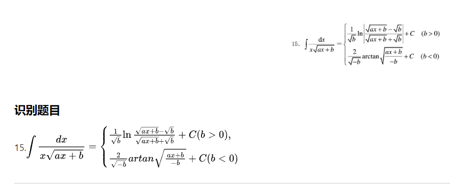
第二期 🧑🎓 拍照答疑
面对复杂难题却毫无头绪?想要找人解答却无人可问?让豆包的拍照答疑功能来帮你!不管是图形难题、手写笔记,还是难以描述的图表,豆包都能为你提供即时有效的帮助,让你的困惑瞬间迎刃而解、学习效率轻松up!
- 多端解惑:电脑版和 APP 都支持拍照答疑功能。当你面对复杂的难题,无需再绞尽脑汁,只需轻松一拍,豆包就能迅速为你解答。
电脑:点击对话页面底部的【解题答疑】按钮,即可上传图片搜索题目进行解答。桌面端和浏览器插件还支持【截图提问】,先截图后解题,你也可以直接使用快捷键进行截图,做到随时随地提问。
手机:直接点击【拍照答疑】按钮,支持拍照或上传本地图片,上传后可手动截取题目,提问更精准。
💻 电脑端
点击“解题答疑”/截图提问

插件截图识文字

截图后选择“解题答疑”

📱 APP端
点“拍照答疑”按钮

上传图片/拍照选题

截取题目

- 精准识别:豆包能准确识别各种排版的题目。无论是中文、英文,还是数学公式、图形等,豆包都能精准识别题目并给出详细的解答。
英语题

数学题

语文题

- 秒问秒答:无需久候,短短数秒,豆包就能为你提供答题思路,给出解答步骤和分析!部分题目还能提供不同的解题方法,拓宽思路,更透彻地了解题目背后的考察的知识点。
选择问题

识别题目

解题步骤展示


第三期 📑 分步骤写论文
「论文」「研究报告」和「文章」模版已支支持分步骤写作功能,先大纲、后写作、还支持二次编辑,进一步提高写作效率,帮助大家轻松应对学术研究中的各种挑战。
💡 写作三步走
选择模版,并根据模版输入写作要求,包括要点和字数等
豆包先撰写大纲,梳理文章的结构和核心要点。你可以按需对大纲进行细致修改,确保逻辑严谨、层次分明
豆包会基于完善后的大纲进行写作,你可以进行二次编辑,例如添加图片、修改文字等,完成后可下载至本地
** 1. 选择「论文」模板**

2. 修改大纲






** 3. 基于大纲生成文档**

** 4. 二次编辑**




4. 下载文档

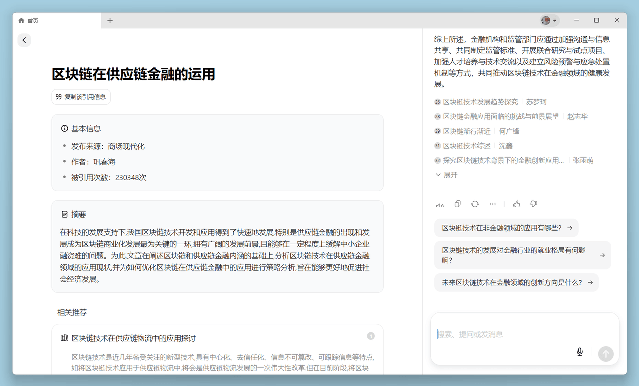
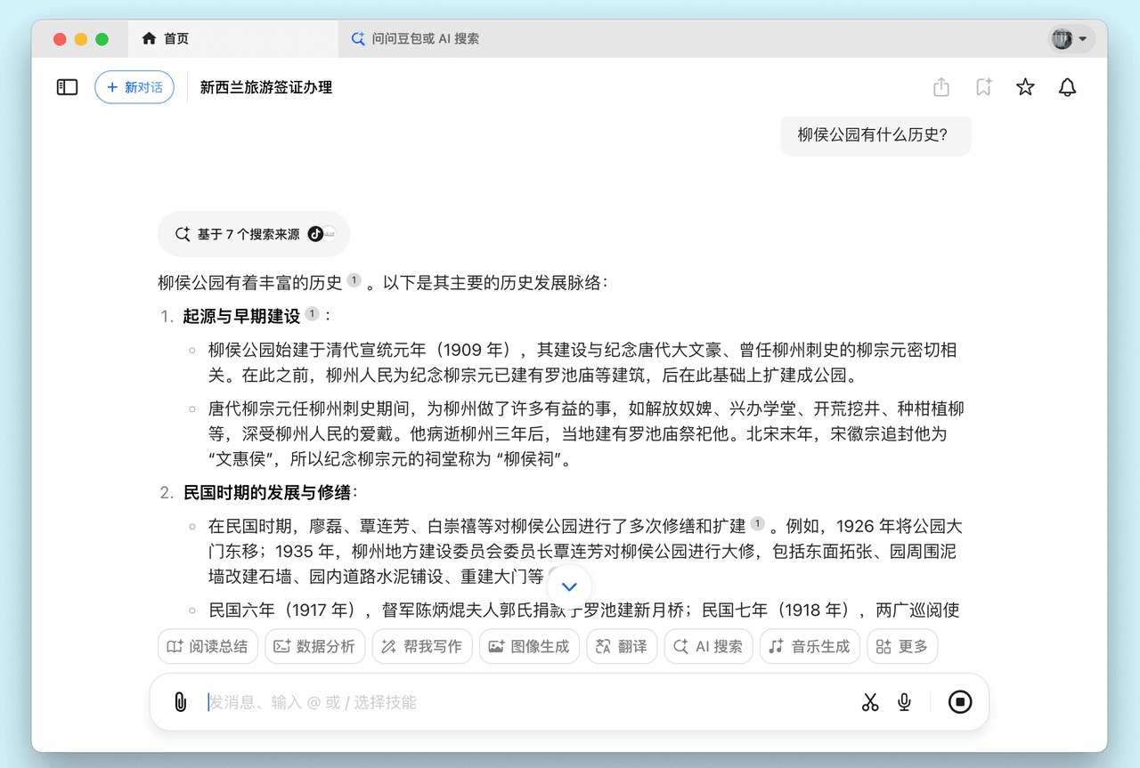
第四期 🎓 检索并阅读文献
遇到论文不要慌!在豆包桌面端找到「学术搜索」功能入口,输入论文主题,豆包就可以帮你在全网搜索学术论文和期刊。海量论文、严谨回答、可靠来源,帮助你轻松应对论文撰写。
学术搜索功能入口


- 搜索海量论文
豆包拥有庞大的论文库,涵盖了多领域的论文文献,包括科技类、政务类、商业类、教育类、医疗类、法律类、历史类等,满足各专业学生和各行各业用户的需求。
科技类

法律类

商业类

教育类

医疗类

政务类

历史类

- 严谨回复和可靠来源
输入你感兴趣的论文课题或问题,豆包会基于全网搜索到的文献进行回答。回复有明确的论文参考和出处,点击角标即可查看具体文献,还能直接复制引用文献格式,支持MLA或是APA格式,再也不用担心文献格式。
轻松引用论文




- 直接阅读文献
部分论文支持直接跳转网页,点击搜索来源卡片上的「打开网页」按钮,即可一键跳转论文网站。在线PDF阅读,豆包帮你总结全文,快速浏览筛选文献。遇上英文文献,还能启用对照式翻译,阅读效率迅速提升。




- 思维拓展
回复后的「建议问题」能进一步发散思维,激发更多选题的可能性。点击具体论文,还有更多相关论文推荐,让你尽情探索文献,了解更深入。


第五期 💻 看视频练外语听力
学习外语听听力磨耳朵效率低下?用豆包桌面端,一站式搞定外语听力练习。视频总结帮你挑选合适的听力材料、开启双语字幕秒懂内容、划词翻译快速积累单词短语,还能边听边记笔记,沉淀重要的知识点!
- 让豆包给你推荐听力材料
告诉豆包你的外语水平,让豆包帮你在全网搜集合适的听力材料,广播电台、播客频道、录音材料,一定有你喜欢的磨耳朵内容。


- 一键视频总结,挑选你感兴趣的听力材料
挑选精听素材效率低下?经常听到一半才发现内容不合适或不有趣?打开网址后,点击右上角的「总结视频」按钮,即可快速了解视频内容,大大节省了挑选材料的时间。
点击右上角的「总结视频」
秒出内容总结


- 开启双语字幕,秒懂视频内容
听力材料有难度?开启双语字幕,选择你想要翻译的目标语言,看懂视频无障碍。你也可以先盲听一遍,再开启字幕,学习效果更佳哦~
开启「双语字幕」

选择字幕翻译语言

- 哪里不懂划哪里
字幕中有生词怎么办?无需打开单独的网页查词典,直接用划选单词、短语、长句,你可以进行翻译、解释、或问问豆包,快速了解生词、新概念和新知识。
划词「AI搜索」

划词「解释/翻译」

- 边听边记笔记
想要收藏查到的生词/短语表达?想随手记下自己的想法和新知识点?无需打开笔记软件,你可以直接记笔记!视频中的笔记会自动保存在「收藏夹」内,点击笔记还可轻松跳转对应的时间轴,复习回顾更加方便!
「记笔记」后会自动收藏

在收藏夹找到对应的视频

视频内容和笔记

点击后跳转至对应时间轴

工作专区
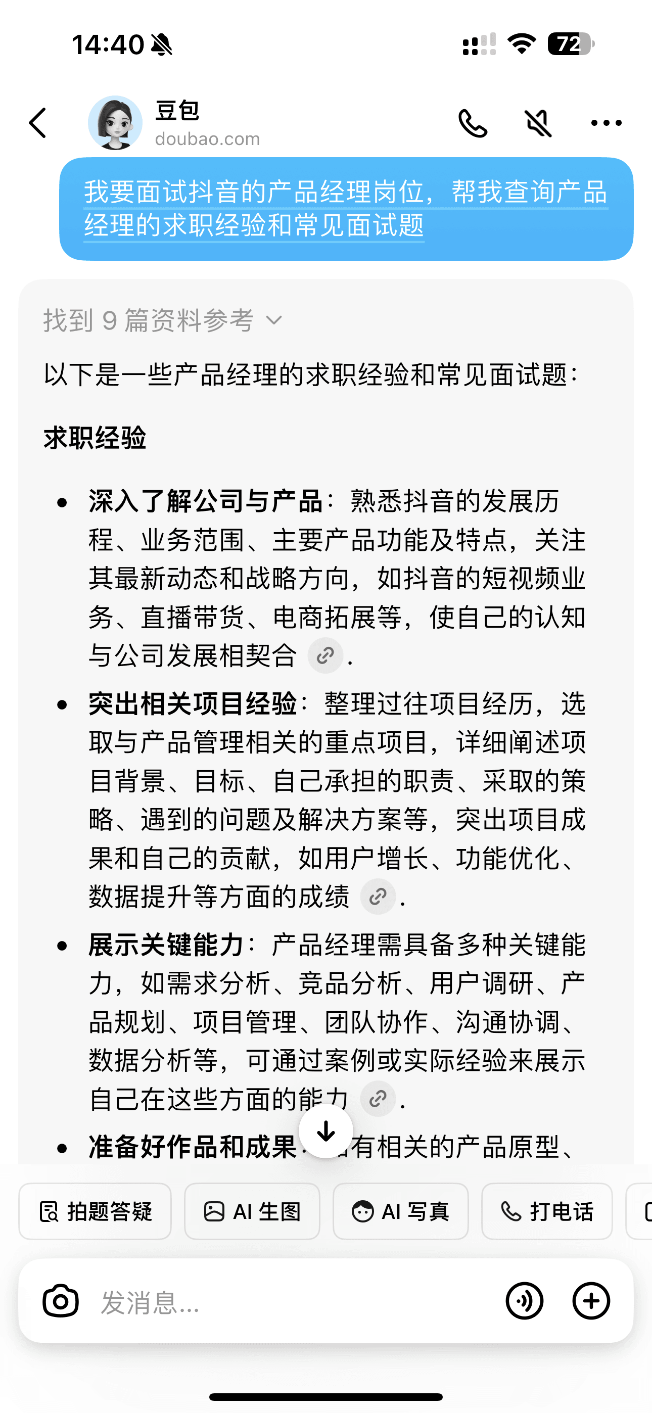
第一期 🎯 简历优化
工作第一步,简历定胜负!如何快速把杂乱的文档改成简历?如何结合岗位要求调整简历内容?快来问问豆包,让豆包为你整理履历、分析简历内容、提供优化建议。精准提升,助力打造完美简历!
- 专属简历定制:投有万字文档,不知道怎么变成结构清晰的简历?告诉豆包你的专业、技能、工作经历等信息,让豆包为你梳理信息,形成结构清晰的简历,告别杂乱无章的信息堆砌。你也可以直接上传文档哦~
履历信息梳理


- 简历分析:让豆包来帮你分析简历,查漏补缺!
🌟 推荐Prompt:
豆包,你是一位在XX行业有着10年工作经验的HR人事,我想应聘XX职位,请帮我检查我的简历,从你的专业角度出发,指出简历的不足与可优化之处。
简历分析


- 简历优化:让豆包来帮你爆改简历,从结构到语言都升级!
🌟 推荐prompt:
话术优化:请基于简历中“XX”部分,具体地进行修改优化,并附上你的修改理由。
结合岗位要求重构简历:请结合以下岗位招聘要求写一份个人简历,分为五个部分:个人优势(分三点描述)、项目经历(挑选1-2个与岗位契合的项目展开阐述)、工作经历(包含工作内容和成果,工作内容以小标题概括后再描述,成果用数据支撑)、教育背景、技能与证书。
优化“自我评价”话术
基于岗位要求优化简历


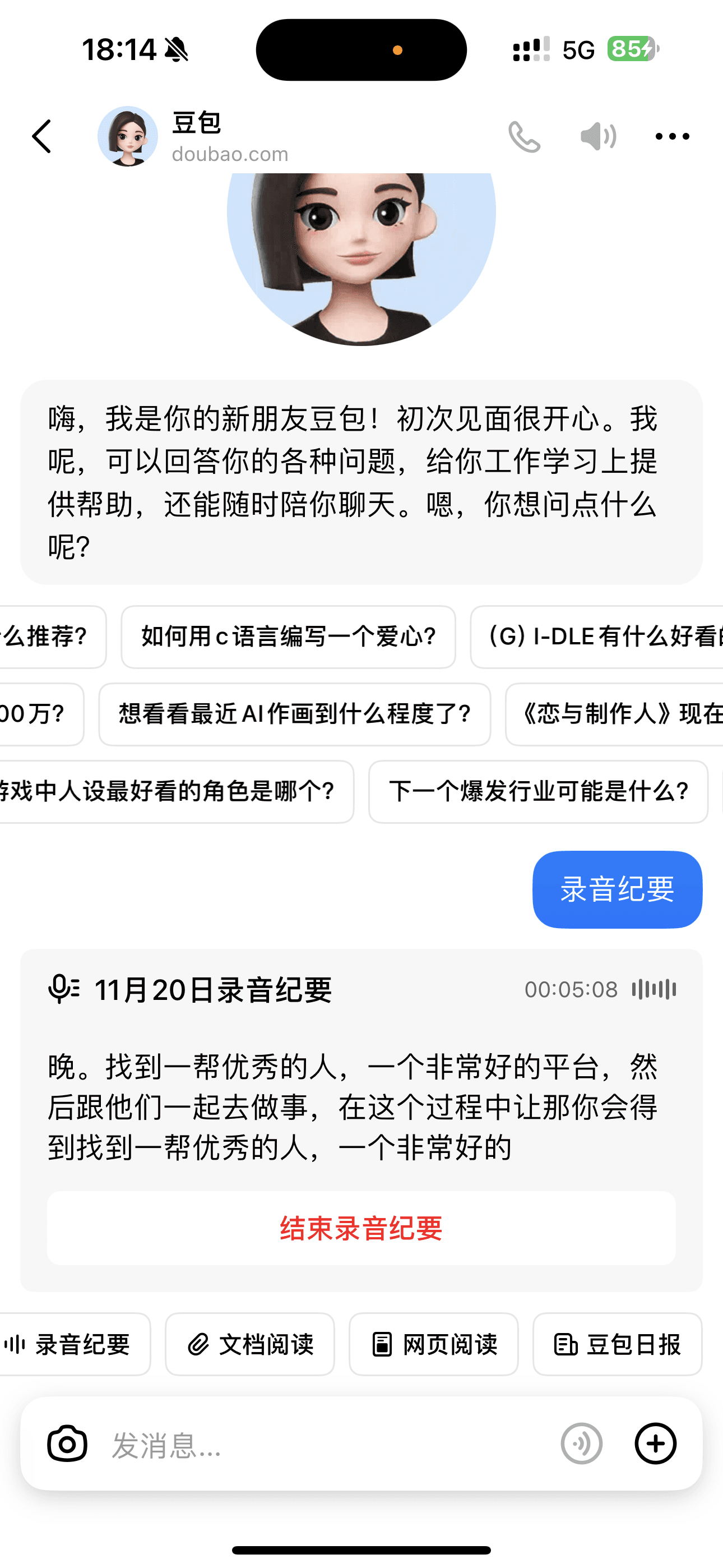
第二期 🎙️ 录制线下会议
开会、培训、听讲座等多种工作场景,豆包随时随地帮你记录,智能总结快速get重点内容,再也不怕漏掉重要信息。简单高效,告别录音笔!
- 用豆包录音总结
你可以在豆包智能体内找到「录音纪要」技能,或者找到豆包官方下的「录音纪要」智能体,点击「录音纪要」,即可一键开启录音。
📱 录音纪要功能入口
豆包技能

独立智能体

点击后立即开始录音

- 随时随地录音
凭借强大的语音模型能力,豆包能精准识别中英文,实时展示语音转文字字幕,还能结合上下文自动纠错。熄屏或锁屏也能继续录制,轻松拿捏超长会议。
⏸️ 随时随地录音
实时字幕

熄屏后仍可录音

超长录音

- 一键智能总结
结束录音后豆包能快速输出结构清晰、内容完整的智能总结,帮你 get 会议核心讨论和关键结论。你也可以切换查看原文记录,豆包能区分发言人整理逐字稿,点击具体原文处还能跟随播放位置,轻松回溯会议内容。点击右上角的“...”,还能一键复制全文,高效整理会议纪要。
📖 智能总结
AI智能总结纪要

逐字稿区分发言人

轻松回溯重点信息

- 上传本地音频总结
豆包还支持上传多格式的本地音频文件,包括 mp3/wav/m4a/wma/aac/ogg/amr/flac/aiff,单个文件最大500M。会议录音、课程记录,都可以发给豆包总结。



第四期 💻 记录线上会议
线上开会担心走神错过重点?会后写纪要梳理Todo花费大量精力?豆包电脑端已全量上线「会议纪要」功能。在飞书、企业微信、钉钉等平台发起会议时,豆包能全程聆听会议内容、总结会议纪要和待办。你还可以基于会议内容进行追问,快速检索会议要点。
- 发起会议记录
自动提醒:开启会议后,豆包将主动提醒“需要我帮你记录会议吗?”,点击“帮我记录”豆包将开始聆听;
手动发起:点击豆包菜单并找到“让豆包记录会议”,点击开始按钮,主动发起记录。
发起会议后豆包自动提醒

手动发起记录




- 全程聆听会议
开会期间豆包将全程聆听会议,结束记录后豆包将开始生成会议总结,完成后会自动通知。会议时间越长,纪要生成时间越久,请耐心等待哦!豆包还支持连续记录,轻松拿捏连轴转的会议议程。
开始记录

终止记录

纪要生成通知

- 生成智能总结
豆包会基于会议内容生成「总结和待办」「智能章节」「文字记录」三大部分,会议重点一目了然,还能回顾讨论细节,并进行智能追问。
智能总结和待办

智能章节

文字记录

追问

- 其他使用场景推荐
除了线上会议,你也可以用会议纪要功能完成别的总结任务,例如让豆包陪你一起听网课、看视频,又或者录下面试过程,方便进行复盘和分析。还有更多场景等待你去探索!
陪看视频/网课
在看视频/网课时,在豆包桌面端发起会议纪要,让豆包陪你一起听课,为你总结内容要点。
面试复盘
求职面试时,开启豆包会议纪要,记录全程表现,还可以让豆包评价你的面试表现!
第四期 👩🏻💼 模拟面试
不知道如何准备面试问题?面试前紧张想练练手?接通豆包语音通话并选择「模拟面试」模式,还原真实面试场景,轻松练习无负担。
- 面试前期准备
💼 信息搜集
“你为什么想加入我们公司?”“你对我们公司的产品有什么了解?”是面试中的常见问题。你可以借助豆包的 AI 搜索功能搜集信息,针对应聘的行业、公司、岗位提前做功课,在面试中给出更有针对性和说服力的回答。
💬 自我介绍
把岗位要求、个人简历和自我介绍发给豆包,让豆包帮你调整结构、突出亮点,给面试官留下深刻印象。
公司信息搜集
岗位求职经验
自我介绍润色



- 开启模拟面试
做好准备后即可开始模拟面试,面试新手可以开启字幕,方便对照问题进行回答。通话结束后可以回溯聊天记录,卡顿宕机、准备不足之处一目了然,方便后续进行针对性准备。
进入语音通话
进入语音通话
开启字幕
回溯聊天记录




模拟面试提示词推荐
💼 求职面试
详述岗位要求,让模拟面试更定制化
例:豆包,我要面试跨境电商行业的产品经理实习生岗位,我主要会负责消费者的新用户体验。帮我练习一下这个岗位的面试吧!

💬 英文面试
模拟全英文面试环境
例:豆包,我是一名英语专业的应届生,我想要面试一个翻译专员的工作,可以帮我进行一场全英环境的模拟面试吗?

🧑🏫 面试评价
评价面试表现,提供“正确答案”
例:豆包,你能评价一下我刚刚说的自我介绍吗?/ 豆包,可以帮我复盘一下刚才的面试吗?我有哪些需要提升的?

生活专区
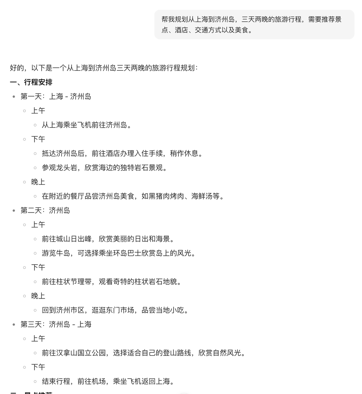
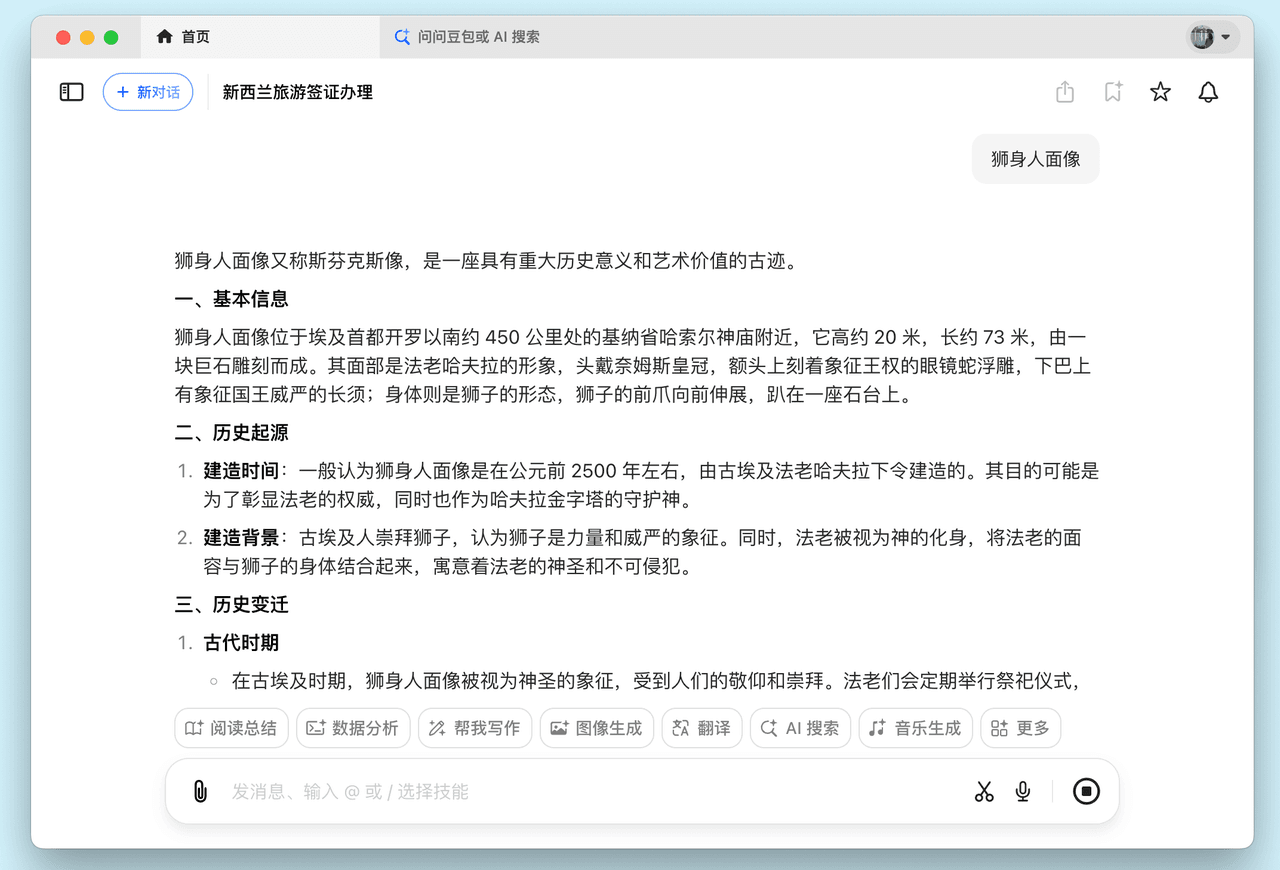
第一期 ⛰️ 旅游攻略
国内外景点数不胜数,还在纠结长假去哪旅游?让豆包来为你推荐,国内外旅行胜地、当地风俗统统给你整理。旅游第一步,轻松搞定!
- 旅途目的地推荐
💡 基础指令推荐
中秋我想去上海周边玩3天,预算3000,帮我推荐些地点。
国庆我想出国玩,预算8000,玩7天6晚,帮我推荐些景点。
✨ 增加更多要求和条件
距离:例如飞行5小时以内
玩多久:例如适合玩3天2晚的
交通方式:例如公共交通便利、适合租车自驾的
其他条件:例如人文景观为主/自然景观为主等
国内景点推荐

国外景点推荐

- 规划行程
选择好目的地后可以让豆包为你规划旅行路线,推荐必打卡的景点,了解当地的交通方式,提前做足攻略!
💡 指令模版:
帮我规划从XX到XX,X天X晚的旅游行程,需要推荐景点、酒店、交通方式以及美食。
例:帮我规划一份从上海到印尼夜,乘坐飞机,两个人预算6000元(包合酒店住宿)的行程。需要推荐景点、酒店以及美食。
🚗 规划行程

🏝️ 当地景点推荐

- 签证办理
探索世界,从轻松搞定签证开始!豆包可以为你梳理办理签证的每一个步骤和所需的材料,让你有条不紊地进行准备。只需要提供你的目的地和旅行时间,豆包就能帮你快速生成英文行程单,签证办理更高效!
签证办理超详细攻略


英文行程单

- 景点介绍
无论走到哪里,豆包就像是你的专属私人导游,时刻准备好为你讲解。名胜古迹、民俗文化、当地美食,让豆包带你开启一场深度的文化探索之旅。拍照识
历史讲解

景点讲解

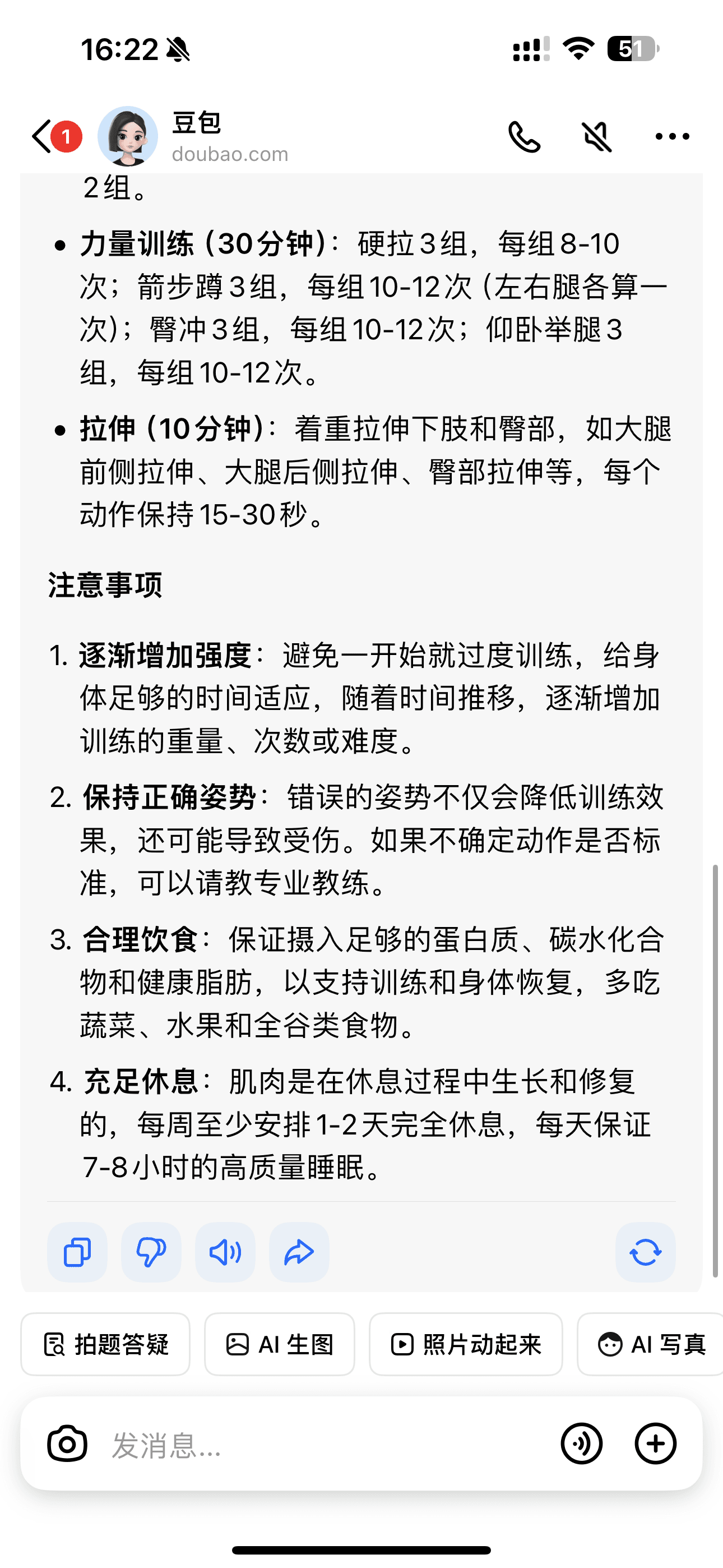
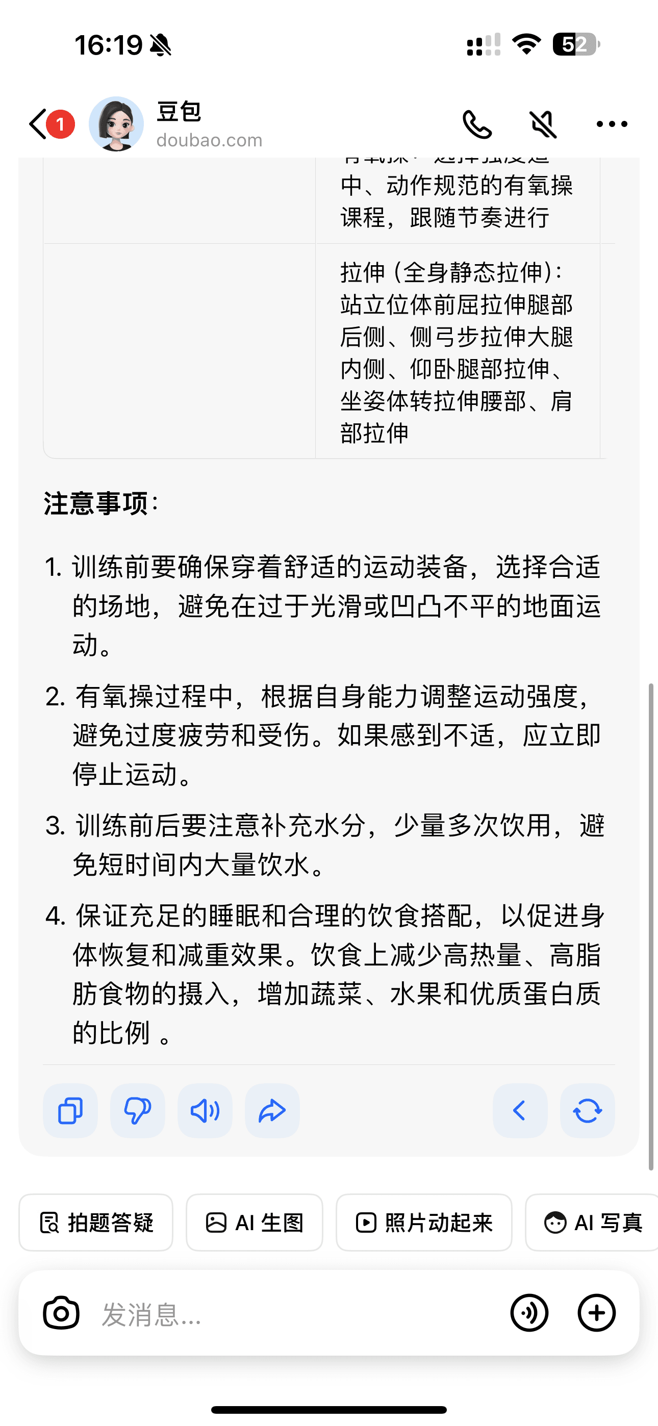
第二期 🏃 健身计划
年后想开启健身大计,但训练计划难搞、跟练视频难找,所以迟迟没有开始?不用发愁!让豆包给你定制专属健身计划,为你推荐跟练视频、讲解健身知识,带你科学高效健身!
- 制定专属健身计划
💡 指令模版
你的个人身体情况(身高、体重、年龄、性别、身体素质等基础信息)+ 你的训练目标(减脂、增肌、塑形等)+ 每周的训练强度(例如每周3练)+ 个人偏好(例如不接受跑跳、不做有氧等)+ 请用表格呈现训练计划
指令范例:
女生,身高165,体重125,我想减重,帮我设计一个健身计划,一周3-4次,比较喜欢做有氧操,要包含热身和拉伸。请用表格呈现计划。
我是一个健身小白,请帮我制定一个一周锻炼三次的健身计划。要包含热身和拉伸,最好还要一些健身注意事项。




- 搜索视频教程
文字不够直观,想直接无脑跟练?你可以直接让豆包基于训练计划推荐抖音视频,或搜索你想要的视频教程,例如“帕梅拉有氧操”、“30分钟有氧搏击操”等,海量健身达人跟练视频、动作讲解干货,轻松筛选!
💡 推荐指令
搜索 30min 的有氧操(搜跟练视频)
硬拉有什么注意事项,给我搜个视频讲解 (搜动作讲解)
基于计划推荐视频

搜索视频跟练

搜索动作讲解

- 规律正确饮食,健身更高效
要有好的健身效果,还得搭配健康饮食。让豆包帮你计算每日基础代谢,并针对性地推荐食谱;用「拍食物查热量」智能体,吃饭的时候拍一拍,精准计算食物卡路里,健身更高效!
计算基础代谢

根据代谢规划餐食

拍照计算卡路里

- 专属健身教练
想要更深入、更持续性地沟通训练计划、咨询健身问题,也可以使用豆包官方的「健身教练」智能体,不仅可以提供专业计划与营养建议,还能为你加油打气,督促你训练!



第三期 🗞️ 用豆包获取新闻资讯
AI 新时代,看新闻的姿势也该升级啦!在豆包 APP 订阅「豆包日报」,即可每天获取感兴趣的行业资讯,还支持一键语音播报,轻松“听”新闻。强大的「AI 搜索」能力让你能随时随地获取最新资讯,你也可以开启「深入思考」,基于海量信息深入了解新闻事件!
📰「豆包日报」- 轻松收听新闻资讯
- 订阅「豆包日报」,新闻准点送达
打开豆包 APP,在主界面输入框上方找到并点击 “豆包日报” ,立即获取当日的热点新闻资讯!点击卡片下方的「偏好设置」选择你感兴趣的领域,并设置每天的新闻推送时间;点击「更多资讯」还可探索更多热点资讯。
推送设置

修改资讯偏好

修改推送时间

- 一键「语音播报」,轻松听新闻
通勤路上一键开启语音播报,边听边看超省心;每条新闻都有独立详情页,快速掌握核心内容;想深入了解?开启深度思考直接追问,深入剖析新闻时事和热点事件,收获有深度的阅读体验!
一键“听新闻”

新闻详情页

用深度思考分析新闻

🔍 AI 搜索 - 主动探索热点资讯
- 定制「热点新闻」,实时资讯一网打尽
直接提问获取热点:选中 「AI 搜索」技能,输入你感兴趣的热点事件,一键直达结果
首页定制热点新闻:点击「定制新闻」,选择你感兴趣的话题,即刻开启个性化新闻推荐
“深究”热点事件:开启「深度思考」,让豆包深入剖析热点事件,轻松读懂新闻
进入「AI搜索」技能页定制热点新闻
在首页浏览新闻事件


搜索新闻事件详情
借助深度思考进一步分析


第四期 🎨 一句话 P 图
「豆包 P 图」 技能已接入 seededit 3.0 模型,支持超多图片编辑玩法,包括一键添加或替换文字、局部 P 图和风格切换,主体保持更稳定,风格更多样!上传参考图,输入文字指令即可体验!
💡 功能使用方法
打开豆包 APP,在输入框上方找到「豆包 P 图」技能,点击后从相册上传参考图。挑选风格模版,输入提示词即可实现一句话 P 图。同时还支持扩图、变清晰、抠图等基本的图片编辑功能,你可以选择快捷功能键使用,或直接通过文字描述。
上传参考图

选择风格模版
输入提示词

添加描述

选择比例

变清晰

扩图

消除

✨ 重点应用场景
场景一:照片风格化
点击并进入「豆包 P 图」页面,超多风格模板等你挑选,一键解锁你的专属风格宇宙!
- 支持超多风格
像素风、吉卜力、史努比、绘本、美漫、手办、中国风、羊毛毡、水彩等等,豆包支持超多图片风格,任你挑选
绘本风格

插画风格

吉卜力风格

像素风

- 风格小人玩法
「豆包 P 图」技能也上线了超火的风格小人玩法,上传图片即可一键生成你的专属风格小人。目前支持emoji、动森、史努比三个风格的小人,小人直接叠加在原图,还能一键动起来,保存为live或视频,社媒分享更方便。
选择指定模版

小人直接叠加在原图

在对话中直接生成动图

小人动起来
- 使用案例
婚礼立牌

旅游Plog

穿搭分享

场景二:一键换背景
拍手办、玩偶、谷子,还在为找不到干净好看的背景发愁吗?好看的自拍但背景太杂乱,想换个更有氛围感的?想要云游世界各国出片?用豆包 P 图帮你秒速换景,蔷薇花丛、日照金山、夏日海滩,氛围感直接拉满,妥妥出片!
- 人物写真/自拍换背景
💡 通用 prompt 参考:保持主体不变,背景变成 XXX
案例展示👇
背景变成蔷薇花丛

背景换成日照金山

背景变成大理洱海海鸥

- 手办玩偶/吧唧换背景
💡 通用 prompt 参考****:保持徽章/玩偶主体不变,背景改成XXX。
更多指令参考这篇「小红书」
案例展示👇
背景换成白欧色桌子,蕾丝雪纺珍珠桌布,冷调光线,桌子上有精致法式蛋糕,银色刀叉,烛台。

背景改成火星,尘土飞扬,强战斗或冲击后的氛围,模型改成战损效果。

背景改成雨中的日本繁华都市,雨滴落在徽章上。

场景三:局部修图
消除多余的路人、改变发色或发型、增加光感,细节调整豆包 P 图也能搞定。你可以输入相应的提示词,或直接点击「添加描述」,选择合适的特征词。
- 增加氛围感
发光发丝
添加一束光打进来的光影效果,让发丝有发光的感觉

增加雾气
增加雾气,打造朦胧感

魔幻天空
天空改成世纪晚霞,橙色、紫色、粉色相交融

- 实用场景
秒出转租图
帮我把图中杂乱的杂物去掉

消除路人
保留人物主体,消除所有路人

做装修图
设计奶油风带家具的装修效果图

场景四:增加/修改文字
- 做海报/表情包,轻松做图文
案例展示👇
在背景图上添加手写字“人生是狂野”

在背景天空中添加烟花绽放效果的文字“love WYX”

在眼镜左镜片上添加文字“暴”,右镜片上添加文字“富”

🪄 一键做同款
不想自己动手?也没问题!你可以进入「创作发现页」,查看豆包用户的创作灵感,一键做同框,超级方便!
进入创作发现页

点击做同款

上传参考图生成
